Algorithm
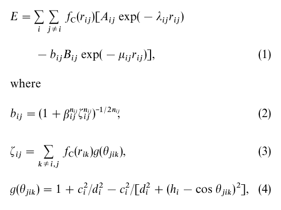
Monte Carlo Method and Metropolis Algorithm are used here. The top-most layer is our interest. Since in experiments, there will be two types of surface, Ga-rich surface and As-rich surface, while they have different characteristics. The first few layers near surface are also allowed to move. Lattice Model is also used to fast the speed. A modified Tersoff Potential is used:



Below is the Parameter Table:
